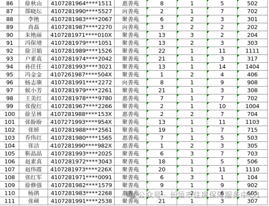
經前期審核、公示,2025年12月30日上午10:00,長垣市公共租賃住房常態化申請2025年第六批公開搖號圓滿完成。
參加本批搖號配租的申請家庭共157戶,配租房源157套,現將搖號結果進行為期三天的公示,公示時間為2026年1月1日—1月3日,公示期間接受社會監督。
監督電話:0373-8885281 8885180
南蒲區



蒱北區


本次辦理繳費時間為2026年1月4日(周日)—2026年1月6日(周二)。
搖中人員需本人攜帶身份證原件到南蒲行政服務中心2號樓3樓住房保障窗口95/96繳費,繳費方式支持微信、支付寶、河南農商銀行卡轉賬和現金支付。完成繳費后,持繳費票據到公租房服務處(怡善苑東門一號商鋪)簽訂租賃合同并辦理入住手續。請搖中人員嚴格在規定時間內辦理上述手續,逾期未辦理的,視為自動放棄承租資格,我中心將收回房源,另行分配。依據相關規定,放棄承租資格的申請人,五年內不得再次提交公共租賃住房申請。
長垣市住房保障中心溫馨提醒:公租房的申請、審核、配租嚴格按照有關政策及程序公開、公平、公正進行,申請人可通過官方網址http://app.xxsbzxzffwzx.cn/xxbzxzfapp.apk提交申請,對于在申報過程中提供虛假材料或者虛報、瞞報相關事項或申請人承租公租房后住房條件發生改善的,利用公租房在中介公司、網絡媒體平臺進行發布轉租轉借信息等違規行為,一經查實,立即取消該申請家庭的保障資格,并將該家庭所有成員列入保障性住房申請審核“黑名單”或移交相關部門將其納入不良信用記錄,五年內所有家庭成員或者和他人組成家庭不能申報各類保障性住房。申請人要警惕以任何渠道發布的申請公租房“有償服務”為噱頭收取錢財的行為,謹防上當受騙。
??????????????????????????????????????????????????????????????????????????????????長垣市住房保障服務中心
??????????????????????????????????????????????????????????????????????????????????????2025年12月30日
該欄目隨時歡迎廣大攝影愛好者報送自己的優秀作品,我們經過篩選后予以發布。
報送郵箱:cy453400@163.com
注意事項:
1、報送范圍:我市境內的自然風光、城市建設、美麗鄉村、項目建設、民生服務、重大活動、旅游景點等圖片。
1、投稿的內容必須是原創作品,注明作者名稱和作品說明。(圖片格式:jpg/png/,寬度>600px)。
2、本站有權對來稿進行編輯、修改以及刪減,如果作者有特殊要求,請在稿件中注明。